Everything in the universe is energy and in a continual state of transformation. The roots of plants transform mineral into vegetable; leaves transform sunlight into live tissue; liquid is transformed into gas; light into heat; heat to propulsion. There is no end ~ only change.
We live in a mathematically ordered world. All actions on the physical plane obey distinct mathematical laws. All existence exteriorizes itself through harmonic economy. From the dance of atoms to spiraling galaxies, every type of growth and motion is governed by the same set of laws.
Sacred geometry defines these laws through a language comprised of number, angle, shape, form and ratio (relationship). It is a universal language of pure mathematical truths based upon the inner workings of nature and the inherent qualities of the circle and sphere.
Sacred geometry describes the self-organizing forces that shape and form the world. It shows how unbridled primary forces are transformed to cosmological order. It measures the harmonic vibrations that sustain life on all levels.
Sacred geometry shows the quality of relatedness between unique and individual differences, and demonstrates how diverse elements can be organized into a whole, while still preserving their individuality.
Sacred geometry integrates the physical, tangible aspects of creation with the spiritual essence behind them. It is an interface between the seen and the unseen, the manifest and the unmanifest, the finite and the infinite, the mundane and the profound.
Sacred geometry has played an integral role in the art, architecture and philosophy of numerous cultures for thousands of years. In the Pythagorean system, as well as other systems, geometric symbolism was held to account for all known states of being.
The ancient Greeks had a geometric/harmonic vision of universal order. They perceived the universe as a vast expanse of diverse elements unified and fused into a cosmos through the essence of harmony. Sacred geometry was used as a valuable tool of self-discovery in the ancient mystery schools. It was a goal of the arcane schools to help lead the mind back towards a sense of Oneness. It is through the experience of the Oneness of all things that Individual Consciousness can harmonize with Universal Consciousness.
Prior to birth, we resided on the spiritual plane of existence. In the transition to the material plane we assumed a physical form. We cannot return to the spiritual plane as long as we have a body, because the resistance of matter prevents it. However, through the spiritualization of matter we can reach an awakened state of spiritual awareness.
The spiritualization of matter occurs when we experience the divine presence in every aspect of creation, but most particularly within ourselves. To achieve this, look within. We unite within ourselves the diversities of heaven and earth. We are spirit and matter combined. We are spiritual beings having a human experience.
We are a microcosmic reflection of the macrocosm. The structure of the human body is based upon the same set of principles that are found functioning on all levels of creation. Our body contains within it holographically all the information of the universe.
An aspect of this can be seen in a geometric principle known as the golden ratio, or the phi ratio (F). This is a universal principle that can be found on all levels of existence.
The golden ratio describes the special relationship found in nature between two parts of a whole. It can be described in terms of number, length, area, volume and, to a certain degree, beauty and consciousness.
The numerical value of the golden ratio is unending, and usually rounded off to three decimal places at 1.618. This value is applied to related objects of different sizes. The simplest example is two straight lines of different lengths. If the length of the shorter line is given the value of 1 unit of measurement, the other line is then 1.618 times longer than that. | |
__________ 1.00 ________________ 1.618
1 : 1.618 = phi = F = Golden Ratio
The length of the bone segments in the fingers of our hands can be measured in this way. Consider the length of the first segment of any given finger as the standard measurement for that finger. The length of the second segment will measure a close approximation of 1.618 times longer than that. The third segment will closely approximate 1.618 times longer than the second, and the fourth segment 1.618 times longer than the third. |
|
The bones of the entire human anatomy relate with one another according to the golden ratio, although in a more complex manner than in the hand. Not only the human form, but all creatures and natural forms can be measured in terms relating to the golden ratio.
| |
The nautilus shell personifies the golden ratio on the one, two and three-dimensional planes. One-dimensionally is the linear spiral, which is based on the golden ratio. Two-dimensionally, with area, the shell itself can be contained in a golden proportioned rectangle; and three-dimensionally each chamber has approximately 1.618 times more volume than the chamber preceding it.
|
![]() |
From molecular compounds to seashells; from pine cones to spiral galaxies; from the phyllotaxis of leaves distributed around a plant to get the maximum light, to the root harmonics of music to achieve the fullest pitch ~ the golden ratio is a common denominator that links all levels of creation.
A distinction needs to be made here between "organic" geometry and "classical" geometry. The geometric measurements of nature, if subjected to close scrutiny, will not conform with the same exactitude to that achieved in classical geometry, as every organic form is uniquely individual in its application of natural processes.
It would be an impossible task to compartmentalize organic structures into regular classical fittings because every natural form is different. However, the characteristics of the objects in nature can be identified as relating to distinct mathematical proportional systems.
Natural forms are diagrams of the forces that created them. Nature, as a response to the action of force, creates a great diversity of forms from a basic inventory of archetypal principles. The archetypes are the basic pattern-forming processes that, operating within strict limits, create limitless varieties.
Natural forms are determined by the interaction of two types of forces: intrinsic and extrinsic. In the case of a plant, for example, the intrinsic force system is governed by the genetic coding that organizes the molecular arrangements to shape the vegetal characteristics of that particular plant.
The extrinsic forces are those influences that are external to the plantís biological form. They are largely environmental such as soil content, temperature, humidity and sunshine. They govern the options and limitations regarding everything the plant can be.
All natural forms are a blend of beauty and function. Nature produces beauty beyond compare, while at the same time expends the least amount of energy in any situation. With a minimal inventory nature develops the most refined, regenerative technology and utilizes the most proficient means for the distribution of available energy and material resources.
All natural forms are an embodiment of the mathematical principles and processes that created and maintain them. The same geometric principles that are an innate part of nature can be produced in classical geometry through uniform divisions of the circle and sphere.
The three primary shapes that arise from the equal divisions of the
circle are the equilateral triangle, the square and the regular pentagon.
The generic term for them is regular polygons. |
These shapes can then be combined to form other polygons.
|
![]() |
On the three dimensional plane, it is through the uniform divisions of the sphere that five primary forms are created, known as the five regular polyhedra, or the five Platonic solids. | |
![]() | |
The primary polygons and polyhedra are the fundamental archetypes of creation, representing the self-organizing forces that shape and define the world. Everything in nature can be described in terms of the mathematical principles that are inherent in these shapes and forms.
They are comprised of vectors (line segments or edges), vertices (points;1 vertex, two or more vertices) and faces (facets). Each primary shape has the ability to generate the same proportional systems that are utilized in nature.
The vectors represent the primal forces, with their lengths proportionate to their total energy. Their positions reveal the angular relationships to other force-vectors in the system. The vertices represent events of activity. The facets represent dynamic tendencies of nature.
The triangle expresses the way in which the different elements of a vital system can be harmonized. The square portrays the effect of crossing opposing elements with one another. The pentagon represents a fundamental aspect of organic growth. Energies are controlled, specified and modified through the effects of angulation. The angular relationships that exist between the vertices ~ the internal radiants ~ are called the root powers or root functions. | |
![]() | |
(N.B. Because a triangle does not have an opposing vertex the internal radiant extends from vertex to base).
The mathematical root power can, in certain regards, be likened to the vegetal root. In both cases the root represents the principle of growth and transformation.
The vegetal root is embedded in the earth. It breaks down (divides) the fixed, dense mineral constituents of the soil into compounds that the plant can assimilate and transform into its own tissue.
The mathematical root is embedded in the polygon. It divides (breaks down) fixed numbers into incommensurable ratios, or unending ratios ~ numbers that stretch off to infinity and cannot be defined numerically (except as an approximation).
While we can never know the exact numerical value of the root powers, their precise measure-ment is visually revealed to us in the form of the internal radiants that dissect the primary shapes and forms (the dihedral angular relationships).
There is deep significance in this factor. In philosophical geometry the root power symbolizes the integration of spirit and form; force and matter; the finite and the infinite; the known and the unknowable. The dichotomy between these opposites is resolved through geometry.
The intrinsic root powers of the polygons and polyhedra are unique in their ability to consistently replicate through endless divisions in space. The scale of the respective system changes continuously, evolving or devolving, but the ratio remains constant in the relationship of one level of subdivision to the next. | |
![]() | |
The root power of the pentagon (phi) has many unique properties that set it apart from the other root powers. | |
![]() | |
When the pentagon is dissected by its internal radiants, two types of golden proportioned triangles are produced. | |
![]() | |
These in turn can be reduced to smaller, similar triangles as well as minature pentagons. Every triangle and pentagon relates to every other one according to some variable of phi. | |
![]() | |
Combined in a different way, the triangles are able to generate a golden proportioned spiral. As in the previous example, the areas of the triangles are in phi proportion with each other.
| |
![]() | |
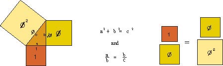
There is yet another type of golden proportioned triangle that is even more unique in its attributes. This is the golden right triangle, one triangle out of an infinite range of possible right angled triangles. But first, a review of the Pythagorean theorem, which states:The square of the hypotenuse of any right triangle is equal to the sum of the squares of the other two sides.
| |
![]() | |
In other words, the area of the first square, when added to the area of the second square is always equal to the area of the third square in a right triangle.
| |
![]() | |
However, with just one exception, the ratios between these lines or squares are not equal to each other. | |
![]() | |
The only instance in which these terms are constant can be found in the golden right triangle. | |
![]() | |
As like any regular triangle | |
![]() | |
In addition, the squares of the line segments are also in phi proportion | |
![]() | |
It is a geometric law that the altitude of any right triangle drawn perpendicular to its hypotenuse divides the original triangle into two similar right triangles. | |
![]() | |
This process can be continued until there is a whole set of triangles | |
![]() | |
In the unique case of the golden right triangle, not only does this division replicate similar golden right triangles... but the triangles, the lengths of the triangles and the areas of those lengths are all in harmonic golden proportion with each other. | |
![]() | |
In the diagrams below, the edges of the progressive triangles are addressed individually. As a point of reference, the length of the first term measured is given the value of 1 and the following lengths are measured in proportion to that. The second triangle from the top is used to begin the sequence of measuring because, in a golden right triangle, the apex triangle is always the same as the third in this type of division.
| |
![]() | |
As well as the line segments and their areas being in phi proportion, so too are the areas of the progressive triangles. In this exquisite golden division each term in the series (linear and area) is the sum of the two previous terms, and a consecutive power of the golden ratio.
| |
![]() | |
![]() |
The symbols of sacred geometry bring
the principles of nature into our field of awareness. They show the
templates of the primal laws that have issued from the Universal Mind.
They offer us a means of addressing the fundamental questions about the
nature of the world in which we live.
![]() |
The wisdom of nature offers the best example of how to live. This wisdom is conveyed through the symbols of sacred geometry. The more we understand them the more we can apply the harmony that is apparent in nature as a more powerful force in our own lives. The geometric symbols are visual instruments that can help bring our vibrations into harmony with the rhythms of nature. The same refined, regenerative technology that nature has evolved can be used in ways to help organize our own thought patterns. |
![]() |
When we focus (or meditate) upon the harmonic templates representing universal laws, our brain simulates the same processes that nature refined. A form of sympathetic resonance occurs between our consciousness and the harmonic octave represented by the symbol. | |
![]() | |
Through mindful awareness we can integrate the essence of those realms into our mental and emotional patterns, giving the subconscious the opportunity to formulate concepts commensurate to healthy working systems.
There is truth and purity in natural things and our contact with them nourishes the soul and illumines the mind. They are like cosmic vitamins that deliver protein to the soul. They are natural antidotes to the visual pollution we are regularly exposed to.
| |
Every thought/image we experience seems to have a corresponding neuro-chemical pathway in the brain. The geometric symbols stimulate pathways that open the mind to processes that take us beyond the regular square and cubic based structuring patterns we are accustomed to. | |
![]() | |
In seeking the relationships through which these systems are governed and interconnected, we tune into the intricacies of universal order. An attunement of human consciousness with the harmony of Universal Consciousness occurs as our minds connect with these universal laws.
It is a process that can help us to harmonize with the vital forces and to experience an integration of Spirit-Mind-Body in a state of higher consciousness. It can bring about transformations in awareness that help open us to the full unfoldment of our potential.
We can implant the seeds of natureís wisdom in our consciousness and benefit from her billions of years of experience. We cultivate the seeds with our attention, imprinting the principles of nature upon our psyche and entraining our minds to universal law. In fact, the information is already there, it just needs to be evoked and consciously developed.
With these principles established in our psyche we can more easily develop a state of balance and equilibrium in our lives. The principles of nature help us establish the greatest stability and strength in a given situation and to find the path of least resistance. By following natureís way we learn to get the most value out of lifeís circumstances.
By understanding the laws and integrating them into our lives we can move from a place of subjective impressions and reactions, to a position of deliberate response to the situations we encounter in life. | |
With the self same winds that blow Tis the set of the sail and not the gale That determines the way they go.
Anon We can better sense that elusive balance between self-determination and fate, that delicate interplay of intrinsic and extrinsic forces. Working within certain parameters, we can play a more significant role in the unfoldment of our own destiny. | |
![]() | |
The universe is not a collection of things but a harmonious, all-embracing set of relationships. We are not apart from it ~ we are a part of it. The universe is ordered and purposeful, and this concept is perhaps best illustrated in the form of the mandala. The word mandala is Sanskrit and means sacred circle. The circle symbolizes the womb of creation, a state of undifferentiated potential from which the primary shapes and forms arise.
Mandalas have been used in a general way by numerous cultures for thousands of years to describe various processes of creation. When the term mandala is applied henceforth, it specifically refers to the kind presented here. The attributes given will not necessarily apply to other varieties of mandalas.
Pythagoras called geometry visual music, the music of the spheres. In this sense, the mandalas may be contemplated as celestial symphonies... orchestrations of mathematical formulae resonating to states of an inherent order that exists on the archetypal plane. | |
They translate complex mathematical expressions into simple shapes and forms. They show how the basic patterns governing the evolution of life can produce the most beautiful results. They are natural formations revealing continuous, timeless, universal actions that can be known to us only through geometry.
The relationship of form, movement, space and time is evoked by the mandala as it visually defines universal laws at play in an interwoven dance of eternity.
The mandalas intimate the presence of order at the highest level. They are encoded patterns of the Universal Mind, emerging through the evolutionary process of harmonic progression. | |
The mandalas presented here result from the sublime relationship that exists between the golden ratio and the circle and pentagon. Although they are original designs, they already existed in a state of potentiality in every circle ever formed. Our geometric knowledge is innate in us, having been acquired before birth when our souls resided in the ethereal realms of existence. On the higher levels of consciousness we are naturally attuned to the harmonies of the universe; on the mundane level we have sacred geometry as a tool to help lead us back towards a sense of Unity ~ known through the ages as the journey home. | |
HOME - MANDALAS- GALLERY- JONATHAN QUINTN - DAN WINTER- MASTER LINKS | |
Copyright 2000 Jonathan Quintin. All rights reserved. http://www.sacredgeometry.com/ |